Skip to content
StickMan Physics

StickMan Physics

Animated Physics Lessons

Menu
  • Home
    • Stickman Physics Music: Blending Science with Sound
    • Unit 1: One Dimensional Motion: Physics Introduction
    • Unit 2: Two Dimensional Motion: Projectile and Non-Projectile
    • Unit 3: Newton’s Laws of Motion and Force
    • Unit 4: Universal Gravitation and Circular Motion
    • Unit 5: Work, Power, Mechanical Energy, and Simple Machines
    • Unit 6: Momentum Impulse and Conservation of Momentum
    • Unit 7: Electrostatics
    • Unit 8: Current and Circuits
    • Unit 9: Magnets and Magnetism
    • Unit 10: Waves
    • Unit 11: Electromagnetic Waves
    • Unit 12: Nuclear Physics
  • Table of Contents
  • Practice
  • Equation Sheet
  • Digital Learning
  • Contact
Menu

Simple Machines Solutions

Simple Machine Problem Solutions

See solutions to simple machine problems involving pulleys, levers, and incline planes, Determine the efficiency, Mechanical advantage, and input force.

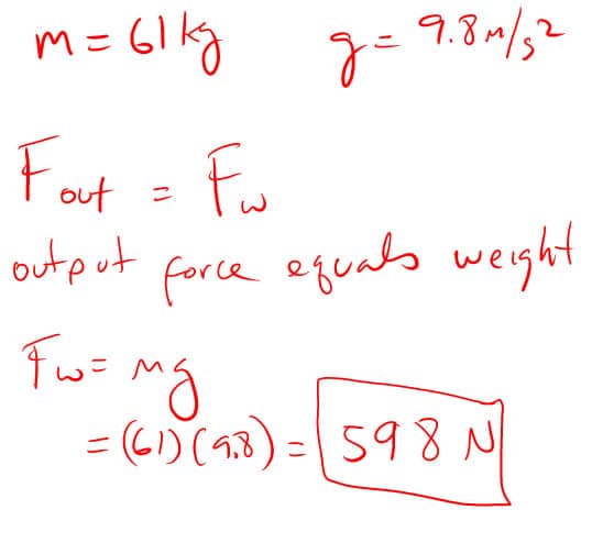
1. What is the output force of an incline plane used to lift a 61 kg refrigerator?

Problem 1 Solution

2. What length of ramp would have to be used to raise a 610 N box to a height of 1.1 m using a force of 180 N?

Problem 2 Solution

3. Which incline would require the most input force from you to raise a 15 kg mass?  Why?

Problem 3 Solution

4. What is the actual mechanical advantage if Sam pushed a 610N box up an incline plane with a force of 220N?

Problem 4 Solution

5. What is the ideal mechanical advantage of the pulley system lifting the couch here?

Problem 5 Solution

6. What is the ideal mechanical advantage if Sam pushed a box 3.73 m up an incline plane to lift a box 1.1 m up on a truck bed?

Problem 6 Solution

7. You attempt to push a 3500 N washing machine up a 5.0 m ramp into your truck bed that stands 0.50 m above the ground.

a) What is the ideal mechanical advantage of the ramp?

b) If you need to exert a 450 N force to push the washing machine up the ramp with constant speed, what is the actual mechanical advantage?

c) What is the efficiency of the ramp?

Problem 7 Solution

Links

  • Back to the Main Simple Machines Page
  • Back to the Main Work, Power, Mechanical Energy, and Simple Machines Page
  • Back to the Stickman Physics Home Page
  • For video tutorials and other physics resources check out HoldensClass.com
  • Find many of your animation resources in one place at the StickMan Physics Gallery
  • Equation Sheet

StickMan Physics Logo  StickMan Physics Home

Stickman Physics Music Page

Unit 1: One Dimensional Motion
Unit 2: 2D Motion
Unit 3: Newton’s Laws and Force
Unit 4: Universal Gravitation and Circular Motion
Unit 5: Work, Power, Mechanical Advantage, and Simple Machines
Unit 6: Momentum, Impulse, and Conservation of Momentum
Unit 7: Electrostatics
Unit 8: Current and Circuits
Unit 9: Magnetism and Electromagnetism
Unit 10: Intro to Waves
Unit 11: Electromagnetic Waves
Unit 12: Nuclear Physics

AP Physics 1 Pages (Deeper Dive into Concepts)

DIY Creations for Fun and Physics

Teachers: Do you want lessons and handouts already put together?  Find resources at TeachersPayTeachers.

©2026 StickMan Physics | Built using WordPress and Responsive Blogily theme by Superb

Terms and Conditions - Privacy Policy